Modelling Latent Attitudes from Likert Data in SOSEC

I provide statistical expertise as a research assistant in the research project Social Sentiment in Times of Crisis (SOSEC), which is carried out at the Forschungszentrum Informatik (FZI) and the Karlsruhe Institute of Technology (KIT). The project focuses on analyzing social sentiment regarding current political events with high temporal resolution through a panel study, a feature that makes it particularly unique.
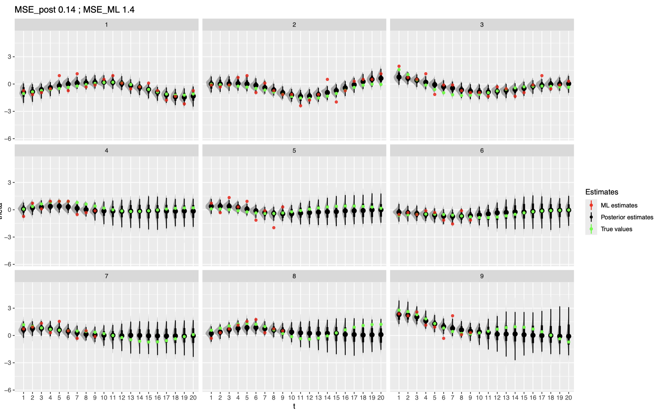
Researchers often seek to summarize multiple Likert-scale items to analyze specific attitudes. To address potential biases that arise from treating ordinal data as metric, I developed a novel Bayesian measurement model for latent attitudes that leverages the panel structure using a Gaussian Process. Due to the Bayesian estimation, the model not only provides uncertainty quantification for latent attitudes but also a robust imputation procedure, which can be used to almost double the number of data points.
A paper applying the model is currently in publication.
Resources
I created a presentation, which gives an overview of the project:

